- Anasayfa
-
Birimler
- Hava Kalitesi İndeksi
-
Duyurular
- Sıfır Atık
- Bağlantılar
- İletişim
Birimler
-
Afet Koordinasyon ve İskan Şube Müdürlüğü
-
Bilgi Teknolojileri, İnsan Kaynakları ve Destek Hizmetlerinden Sorumlu Şube Müdürlüğü
-
Çed ve Çevre İzinlerinden Sorumlu Şube Müdürlüğü
-
Çevre Yönetimi ve Denetiminden Sorumlu Şube Müdürlüğü
-
Çölleşme ve Erozyonla Mücadele Şube Müdürlüğü
-
İmar ve Planlamadan Sorumlu Şube Müdürlüğü
-
Hukuk Birimi
-
Milli Emlak Dairesi Başkanlığı
-
Proje İşlerinden Sorumlu Şube Müdürlüğü
-
Tabiat Varlıklarını Koruma İşlerinden Sorumlu Şube Müdürlüğü
-
Yapı Denetiminden Sorumlu Şube Müdürlüğü
-
Yapı Malzemelerinden Sorumlu Şube Müdürlüğü
-
Yapım İşlerinden Sorumlu Şube Müdürlüğü
-
Yerel Yönetimler Şube Müdürlüğü
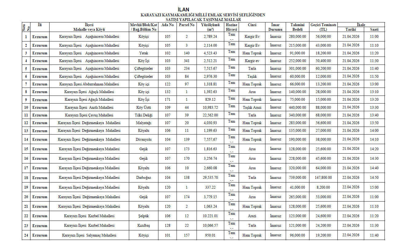
Karayazı Milli Emlak Şefliği'nden Taşınmaz Mal Satış İlanı

